FOST-Analysis
0 Mathematische Grundlagen
1 Allgemeines zu Funktionen
2 Potenzfunktionen
3 Verschieben und StreckenStauchen von Funktionsgrafen
4 Lineare Funktionen
5 Ganzrationale Funktionen
5.1 Quadratische Funktionen
5.2 Nullstellen quadratischer Funktionen
Beispiele für die p-q-Formel
Zahlenbeispiel 2
Zahlenbeispiele 1
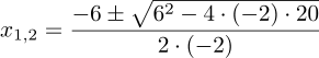
Zahlenbeispiel für die Mitternachtsformel
5.3 Nullstellen bei Funktionen mit größerem Grad als 2
5.4 Mehrfache Nullstellen
5.5 Grenzverhalten von Funktionen
5.6 Symmetrie von ganzrationalen Funktionen
Beispiele
6 Einführung in die Differentialrechnung
7 Anwendungen der Differentialrechnung
8 Integralrechnung
9 Exponentialfunktionen
A1 wichtige Sätze
A2 Vokabeln
Kompetenzen
Mathe-BBS-Cux
Please note
To hide the menu
you need to enable
Java script
[
Vorherige
] [
Weiter
]
Zahlenbeispiel für die Mitternachtsformel
Zu lösen ist:
Schritt: Bestimmen Sie a, b, und c:
,
und
Schritt: In die Formel einsetzen:
Schritt: Ausrechnen:
⇒
und
—
zurück
—